Интервал значений - Messages
Набираю у, оператор символьного вычисления, в подсказке пишут "Матрица не квадратная". Пишу у=, а мне в ответ: "Не могу вычислить"! Может быть, я что-то не правильно делаю?
WroteМожет быть, я что-то не правильно делаю?
Думаю так и есть, но не зная на сколько Вы изменили файл, я никак не могу сказать в чём проблема.
WroteДумаю так и есть, но не зная на сколько Вы изменили файл, я никак не могу сказать в чём проблема.
Я не меняла файл. Просто его открыла. Всё так, как на Вашем скриншоте, кроме ответа.
WroteWroteДумаю так и есть, но не зная на сколько Вы изменили файл, я никак не могу сказать в чём проблема.
Я не меняла файл. Просто его открыла. Всё так, как на Вашем скриншоте, кроме ответа.
Похоже, что у Вас не последняя версия программы. Пожалуйста, проверьте версию программы и её компонентов, цифры должны как минимум соответствовать данным:
________
________
sun3, возможно Вы как-то меняли настройки программы на значения несовместимые с текущими вычислениями? Попробуйте вернуть значения по-умолчанию. Если это не поможет, пожалуйста, откройте файл расчётов, нажмите кнопку "Сохранить" в программе и вышлите мне получившийся файл - надеюсь смогу разобраться в чём же проблема.
Не используйте "x", как range переменных, и что бы решить эту проблему.
Если хорошо помню, это была ошибка, которая была решена в последующих версиях.
Не уверен.
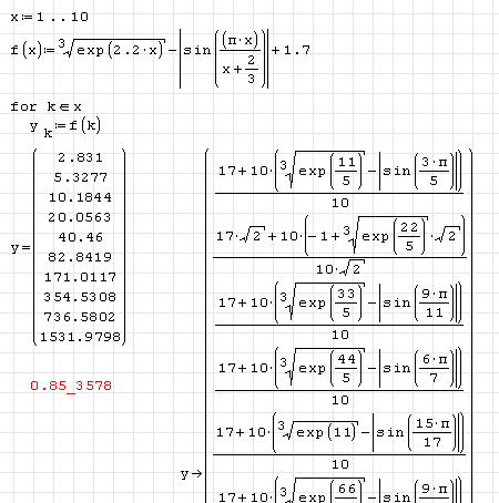
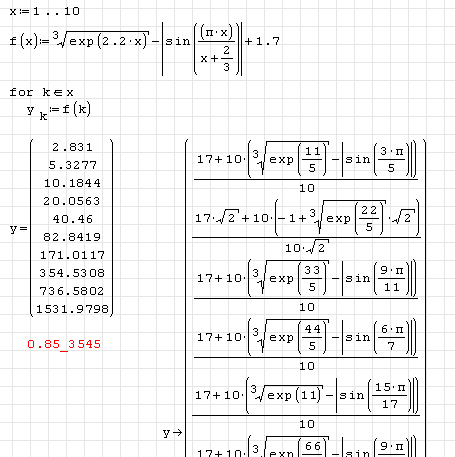
Здесь же пример, от v3531 и v3545
v3531
---
v3545
С уважением,
Радован
Wrote
________
________
А каким образов Вы получили число, записанное красным цветом?
WroteНе используйте "x", как range переменных
А как тогда задать интервал значений х?
WroteWroteНе используйте "x", как range переменных
А как тогда задать интервал значений х?
Вы можете сделать это, но использовать последнюю версию SMath или ждать нового
С уважением,
Радован
Wrote
Вы можете сделать это, но использовать последнюю версию SMath или ждать нового
Я использую ту версию, которая выложена на этом сайте.
Wrotesun3, возможно Вы как-то меняли настройки программы на значения несовместимые с текущими вычислениями? Попробуйте вернуть значения по-умолчанию. Если это не поможет, пожалуйста, откройте файл расчётов, нажмите кнопку "Сохранить" в программе и вышлите мне получившийся файл - надеюсь смогу разобраться в чём же проблема.
Вы последовали моим рекомендациям?
WroteWrotesun3, возможно Вы как-то меняли настройки программы на значения несовместимые с текущими вычислениями? Попробуйте вернуть значения по-умолчанию. Если это не поможет, пожалуйста, откройте файл расчётов, нажмите кнопку "Сохранить" в программе и вышлите мне получившийся файл - надеюсь смогу разобраться в чём же проблема.
Вы последовали моим рекомендациям?
Я не меняла никаких настроек. Просто открыла программу и начала вводить функцию. Вы выкладывали пример решения моей задачи, под рисунком была подпись "скачать файл". Я его скачала, открыла, а у не вычисляется. Я бы выслала Вам свой файл, только не знаю, как прикрепить его к ответу

С уважением,
Радован
Под символом Y_k понималось "Y с индексом k"
- New Posts
- No New Posts