Maple Tools - Symbolic engine for SMath Studio. - Messages
WroteIn addition to names, parameter types also need to be converted. They need to be supported in both directions. As for trigonometric functions, the SMath tries to automatically work with names, which prevents them from being supported in the plugin in a controlled way.
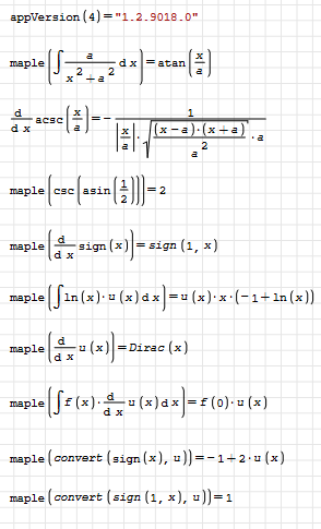
Hi Viacheslav. Forgetting about types for a moment, if you add a line with "alias(arg=argument, asin=arcsin, ... )" and some other aliases to the plugin's "in.tmp" file, wouldn't it do the conversion automatically?


Best regards.
Alvaro.
with(linalg):with(inttrans):with(plots):
alias(arg=argument, sign=signum, u=Heaviside):
alias(asin=arcsin, acos=arccos, atan=arctan):
alias(asec=arcsec, acsc=arccsc, acot=arccot):
alias(asinh=arcsinh, acosh=arccosh, atanh=arctanh):
alias(asech=arcsech, acsch=arccsch, acoth=arccoth):
And this is the test:
alias.sm (8.84 KiB) downloaded 1360 time(s).

I use u=Heaviside because there is a plugin with this function, useless for integration, but there must be some other better name. Also, there are some other functions, like GAMMA, Bessel, Airy, etc.
Best regards.
Alvaro.
In the future, a separate plugin can be made to remove unnecessary transformations.
The python.exe interpreter must be accessible via known paths.
maple-python-mode.sm (12.22 KiB) downloaded 1024 time(s).

The octave-cli.exe interpreter must be accessible via known paths.
maple-octave-mode.sm (12.45 KiB) downloaded 1120 time(s).

Thanks, Slava!
See pls the attach
mapletools-implicitplot3d-Nautilus.sm (271.98 KiB) downloaded 621 time(s).
How can we to put correct view - as in the Maple-picture?

pMesh-implicit.sm (123.13 KiB) downloaded 542 time(s).
Best regards.
Alvaro.
WroteHi Valery. I don't know from which version of Maple has implicit plot 3D, but I'm sure version 6 doesn't have it. You can try pMesh or pSurf.
pMesh-implicit.sm (123.13 KiB) downloaded 542 time(s).
Best regards.
Alvaro.
Thanks, Alvaro!
See pls attachs
mapletools-implicitplot3d-Nautilus.pdf (489.57 KiB) downloaded 279 time(s).
mapletools-implicitplot3d-Nautilus.sm (274.4 KiB) downloaded 590 time(s).
Nautilus.sm (45.81 KiB) downloaded 557 time(s).

mapletools-implicitplot3d-Nautilus mod.sm (26.32 KiB) downloaded 575 time(s).
Best regards.
Alvaro.

mapletools-implicitplot3d-Nautilus (2).sm (20.29 KiB) downloaded 553 time(s).
In Maple 11:

Also, from other post from you, notice that you can write the temperatures like this

Best regards.
Alvaro.
Слабо?
WroteCan you solve this problem? The submarine's cross-section is an ellipse, and the bow and stern are halves of the ellipsoid.
Слабо?
Hi Valery. And what's the problem? It has a curious shape, but I suppose it's not one of the strangest I've seen. I don't know what problem you're trying to solve. I thought it was just about getting the graph like in Mathcad.
Best regards.
Alvaro.
WroteWroteCan you solve this problem? The submarine's cross-section is an ellipse, and the bow and stern are halves of the ellipsoid.
Слабо?
Hi Valery. And what's the problem? It has a curious shape, but I suppose it's not one of the strangest I've seen. I don't know what problem you're trying to solve. I thought it was just about getting the graph like in Mathcad.
Best regards.
Alvaro.
Thanks Alvaro for the interest.
The problem - the submarine's cross-section is an ellipse, and the bow and stern are halves of the ellipsoid.
V, S, L=constants, a, b -?
By symbolic and/or numeric math. With 3D-plot with animation!


submarine ellipse.sm (295.35 KiB) downloaded 539 time(s).
Best regards
Alvaro
WroteHy Valery. Assuming the cameraman was very skilled and there's no roll angle, and disregarding perspective effects, you can try adjusting the values for a setup similar to the following
submarine ellipse.sm (295.35 KiB) downloaded 539 time(s).
Best regards
Alvaro
How to calculate the length of an ellipse and the area of an ellipsoid?

elli.sm (13.46 KiB) downloaded 542 time(s).
Edit: Alvaro found a typo and suggested to use the definition of the elliptic integrals directly.

elli.sm (19.21 KiB) downloaded 528 time(s).
QuoteThe problem - the submarine's cross-section is an ellipse, and the bow and stern are halves of the ellipsoid.
V, S, L=constants, a, b -?
The (possibly) elliptical outer hull of the submarine doesn't carry pressure loads. The cross section of the actual internal pressure vessel seems to consist of two circle segments. Elliptical sections would easily collapse under external pressure. Circular sections are bending-free and the internal and external bulkheads and stringers just prevent the hull from buckling due to compressive membrane stress. The outer hull may contribute to that in the sense of a sandwich design. Of course, there might be non-uniform pressure loads due to nearby detonations or collisions with the ground or other vessels.
- New Posts
- No New Posts

