Beta: SMath Studio 0.99.7219 (07 October 2019) - Messages
SMath Studio
Tiny, but powerful mathematical program with WYSIWYG editor and complete units of measurements support.
It provides numerous computing features and rich user interface translated into about 40 different languages. Application also contains integrated mathematical reference book.
Application can be easily extended based on your needs. Built-in Extensions Manager tool allows to get access to hundreds official and third-party resources of the following types: usage examples, plug-ins, SMath Viewer based applications, snippets, interface translations, interactive books, handbooks and tutorials.
Changes introduced in current build 0.99.7219
Improvements
- Arial made a default font for Text Region.
Corrections
- Changing font Familty and font size for several selected Regions fixed;
- Fixed exception happens on some environments when rendering font names in font selector;
- Fixed issue related to empty Descriptions on file open;
- Select All supported inside embedded Regions now.
Miscellaneous
- Worksheet files layout updtaed to be supported by earlier SMath Studio versions;
- The following functions allows to calculate 0^0 now: sum(4), product(4), eval(1);
- Situations with unwanted change of font options fixed.
Download
SMathStudioDesktop.0_99_7219.Mono.tar.gz (1.4 MiB) downloaded 2110 time(s).
SMathStudioDesktop.0_99_7219.Setup.msi (2.27 MiB) downloaded 5772 time(s).
A few comments:
It would be nice to set the default text. If I change it, it will not remain as the default.
The default font size now changes correctly, however it remains shown as 10 (graphically) in the ribbon.
When using the "show description" feature. The text returns down a line when using " or ' characters.
Edit:
I don't think the font style of "descriptions" can be changed.
WroteI don't think the font style of "descriptions" can be changed.
I use monospace characters in my documents; so I stick with courier new, fixedsys, typewriter fonts. New created description texts in 7219 always have Arial font and it can't be changed. I need to copy and modify a variable from earlier versions which has precreated description text.
And font can be changed to anything with a text editor like notepad.

Test about solve.sm (5.89 KiB) downloaded 1281 time(s).
WroteYou can also use FindRoot from the NonLinearSolvers plugin, well documented, for details, in Martin Kraska guide
sergio
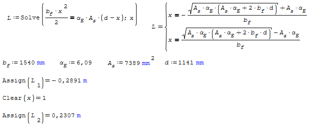
Thank you! this way is very good. But I find another problem.

Test about solve.sm (6.49 KiB) downloaded 1298 time(s).
Therefore, you have to Clear(x) before you can solve for x again. Just as demonstrated in the Maxima example above. There, the solution is assigned explicitly using Assign() from the Maxima-Plugin
See Interactive Handbook> Function Index> Assign or Solve
WroteFindRoot performs implicit assignment to x.
Therefore, you have to Clear(x) before you can solve for x again. Just as demonstrated in the Maxima example above. There, the solution is assigned explicitly using Assign() from the Maxima-Plugin
See Interactive Handbook> Function Index> Assign or Solve
thank you sir. I solve my problem!
WroteI solved my problem !
Read carefully the attached.
Solve Given_Find [System Demo epsilon].sm (25.89 KiB) downloaded 1100 time(s).
WroteRead carefully the attached.
Read even more carefully the attached.
All in all: Smath solvers has solved all Mathcad 11 great projects.
The bugger in Smath FindRoot is 'ε'
i.e: needed or detrimental [detrimental in attached Butler].
To make it clear, Mathcad Given Find is Mathsoft proprietary.
It has no competition in difficult applications.
Some projects toke weeks, from brain storm collaboration.
Cheers ... Enjoy Butler.
Solve Given_Find [CO2_6179].sm (34.34 KiB) downloaded 1162 time(s).
WroteWroteRead carefully the attached.
Read even more carefully the attached.
All in all: Smath solvers has solved all Mathcad 11 great projects.
The bugger in Smath FindRoot is 'ε'
i.e: needed or detrimental [detrimental in attached Butler].
To make it clear, Mathcad Given Find is Mathsoft proprietary.
It has no competition in difficult applications.
Some projects toke weeks, from brain storm collaboration.
Cheers ... Enjoy Butler.
Solve Given_Find [CO2_6179].sm (34.34 KiB) downloaded 1162 time(s).
Hello Jean,
It seems something is wrong here. Results seems to be doubtful and I think epsilon is missing as a third argument in FindRoot()

If I add it

Playing with the fourth argument will give

Moreover, roots() will fail

Regards,
Radovan
WroteHello Jean,
It seems something is wrong here.
Quite right Radovan, many things don't cut the mustard !
1. "roots" fails in your version, but superb in my native SS 6179.
2. "epsilon" deteriorates the solver in this FindRoot application.
3. The system reacts like proportional/commutative wrt reactants.
What matters is the balance [Alkalinity] 0.0000012
sounds pretty good to me ? Should revisit the paper problem,
Reference: Butler, Carbon Dioxide Equilibria, Prob. 2-11, pg 41
WroteReference: Butler, Carbon Dioxide Equilibria, Prob. 2-11, pg 41
I could not retrieve the very original.
Here is something.
https://www.isws.illinois.edu/pubdoc/CR/ISWSCR-171.pdf
- New Posts
- No New Posts


