Ошибки в ПК версии - Сообщения
#121 Опубликовано: 05.04.2010 10:43:32
Спасибо. Об этой ошибке я уже получил несколько сообщений на англоязычном форуме и недавно исправил её. Исправление будет доступно в ближайшем релизе.
#122 Опубликовано: 15.04.2010 05:45:12
Если результат вычисления десятичного логарифма присвоить переменной, потом использовать эту переменную в нескольких итерациях, то уже после 4-го шага появляется сообщение "Значение вышло за пределы максимально допустимого числа"
Текстовый пример:
P1=30, Q1=40, U=110, r=2
x=0.145*lg(4/0.0076)+0.016
dP1=(P1^2+Q1^2)*r/U^2
dQ1=(P1^2+Q1^2)*x/U^2
P2=P1+dP1
Q2=Q1+dQ1
dP2=(P2^2+Q2^2)*r/U^2
dQ2=(P2^2+Q2^2)*x/U^2
P3=P2+dP2
Q3=Q2+dQ2
...
dP4=ошибка
Численные значения растут по-немногу, а символьные - астрономически.
Текстовый пример:
P1=30, Q1=40, U=110, r=2
x=0.145*lg(4/0.0076)+0.016
dP1=(P1^2+Q1^2)*r/U^2
dQ1=(P1^2+Q1^2)*x/U^2
P2=P1+dP1
Q2=Q1+dQ1
dP2=(P2^2+Q2^2)*r/U^2
dQ2=(P2^2+Q2^2)*x/U^2
P3=P2+dP2
Q3=Q2+dQ2
...
dP4=ошибка
Численные значения растут по-немногу, а символьные - астрономически.
#123 Опубликовано: 15.04.2010 08:48:07
Здравствуйте.
1) Ваша задача легко реализуется циклом (на картинке ниже показано исполнение 10 итераций).
2) Уйти от подобных ошибок помогает встроенная возможность управления оптимизацией вычислений. Посмотрите на скриншот:

(скачать файл)
Если вы не хотите пользоваться возможностями программирования программы, то можете просто указать численную оптимизацию для тех элементов, в которых Вы делаете присвоение - поможет.
1) Ваша задача легко реализуется циклом (на картинке ниже показано исполнение 10 итераций).
2) Уйти от подобных ошибок помогает встроенная возможность управления оптимизацией вычислений. Посмотрите на скриншот:
(скачать файл)
Если вы не хотите пользоваться возможностями программирования программы, то можете просто указать численную оптимизацию для тех элементов, в которых Вы делаете присвоение - поможет.
#124 Опубликовано: 15.04.2010 23:50:07
Спасибо, численная оптимизация помогла. Хорошо, что это не баг. Про циклы понятно, но пример был сильно упрощен, параметры участков цепи разные, проще в линию расчет вести.
#125 Опубликовано: 19.04.2010 08:26:25
#126 Опубликовано: 19.04.2010 08:58:20
Здравствуйте.
Похоже, в настройках файла указано, что вычисления Вы проводили в градусах (а не в радианах). К сожалению, в последней версии программы "Градусы" в опциях отрицательно влияют на работоспособность функций sin, cos, tg и ctg - недоглядел перед выпуском.
Рекомендую изменить в настройках "Градусы" на "Радианы" и воспользоваться единицами измерения как показано ниже.

(скачать файл)
Думаю, что вариант использования единиц измерения много лучше использования глобальных настроек, т.к. даже при печати файла, таким образом, можно показать, что аргументы триг. функций - градусы.
С уважением, Андрей Ивашов.
WroteОшибку пишет "В экземпляре объекта не задана ссылка на объект". Честно говоря не очень понимаю о чем речь.
Похоже, в настройках файла указано, что вычисления Вы проводили в градусах (а не в радианах). К сожалению, в последней версии программы "Градусы" в опциях отрицательно влияют на работоспособность функций sin, cos, tg и ctg - недоглядел перед выпуском.
Рекомендую изменить в настройках "Градусы" на "Радианы" и воспользоваться единицами измерения как показано ниже.
(скачать файл)
Думаю, что вариант использования единиц измерения много лучше использования глобальных настроек, т.к. даже при печати файла, таким образом, можно показать, что аргументы триг. функций - градусы.
С уважением, Андрей Ивашов.
#127 Опубликовано: 19.04.2010 09:39:07
Спасибо, но когда поробовал нашел баг. Вставить единицу измерения (deg) в функции синуса после переменной нельзя - не работает. Приходится сперва вбить какое-то число,потом поставить deg, а затем число переименовать на переменную.
#128 Опубликовано: 19.04.2010 10:32:34
Это не баг, просто нужно понимать, что между переменной и единицей измерения должен стоять оператор умножения. А значит после указания аргумента (например, для синуса) нужно поставить знак умножения и уже потом можно будет вписывать единицу измерения (в некоторых случаях программа сама вставляет умножение, но, пока, далеко не во всех). Это если я правильно понял то, о чём вы говорите...
#129 Опубликовано: 19.04.2010 10:39:03
#130 Опубликовано: 19.04.2010 11:10:21
В следующей версии (я очень на это надеюсь) появится диалог свойств каждого отдельного элемента листа, где можно будет указать до какого уровня точности число не равно нулю. Т.е. в Вашем примере можно будет сказать, что всё, что меньше 10^(-15) нужно принимать за ноль и таким образом исключить мнимую часть.
#131 Опубликовано: 19.04.2010 13:49:17
Дак в том-то и дело что там не ноль, а 17.18. Предыдущая версия этот кусок расчета считала нормально, но баг был при hour=5. Сейчас при hour=5 нормально, а при 7 вот такая вот ерунда получается.
#132 Опубликовано: 19.04.2010 14:22:43
Действительная часть числа - 17.18 - не удовлетворяет условию "меньше 10^(-15)", а потому будет отображаться нормально, однако мнимая часть будет исключена (между прочем Маткад работает по тому же принципу).
#133 Опубликовано: 23.04.2010 09:38:26
При работе с текстом:
* Shift-End не работает
* Ctrl-X не работает
* Shift-End не работает
* Ctrl-X не работает
#134 Опубликовано: 23.04.2010 14:28:28
WroteВ следующей версии (я очень на это надеюсь) появится диалог свойств каждого отдельного элемента листа, где можно будет указать до какого уровня точности число не равно нулю. Т.е. в Вашем примере можно будет сказать, что всё, что меньше 10^(-15) нужно принимать за ноль и таким образом исключить мнимую часть.
Кстати, тоже наткнулся на то, что при вычислении арктангенса мнимую часть получаю... Хотя арктангенс вроде угол, насколько я помню. Это такая особенность программы?
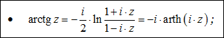
#135 Опубликовано: 23.04.2010 16:06:17
Позволю себе напомнить Вам, что такое арктангенс:

#136 Опубликовано: 24.04.2010 08:50:31
Наверняка большинство использует арктангенс для получения "обычного" угла.
Возможно нужна какая-то опция отображения.
Возможно нужна какая-то опция отображения.
#137 Опубликовано: 26.04.2010 06:35:34
Здравствуйте! Возникла проблема при попытке изменить язык интерфейса. Абсолютно не отображает кириллицу (см. sshot). Подскажите, что делать.
Скриншот по ссылке: http://uppix.net/b/4/8/a8c1f7302312f84f5d6d3879e1061.jpg
Скриншот по ссылке: http://uppix.net/b/4/8/a8c1f7302312f84f5d6d3879e1061.jpg
#138 Опубликовано: 26.04.2010 14:21:27
WroteНаверняка большинство использует арктангенс для получения "обычного" угла.
Возможно нужна какая-то опция отображения.
А что, еще и "необычные" углы бывают? Вроде как вещественные и комплексные числа? А как быть, допустим, в том случае, если у меня есть прямоугольный треугольник и надо величину одного из острых углов определить? Величина угла явно "обычная", а я еще и мнимую часть получу...
#139 Опубликовано: 27.04.2010 17:47:54
ЦитатаЗдравствуйте! Возникла проблема при попытке изменить язык интерфейса. Абсолютно не отображает кириллицу (см. sshot). Подскажите, что делать.
У вас какая-то тема Windows установлена нестандартная, и шрифт явно не родной. Возможно просто в том шрифте русских букв-то и нет.
#140 Опубликовано: 28.04.2010 05:18:54
Может не по теме, но как удалить папку "Xenocode", автоматически создающуюся в директории с "SMath Studio Desktop Portable.exe"? Сам файл уже удален, но папка всё равно создается.
Заранее благодарен.
Заранее благодарен.
- Новые сообщения
- Нет новых сообщений

